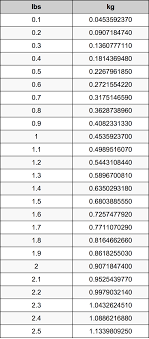
Convert 2 2 Pounds To Kg. 2 2 pounds lbs 0 997903 kilograms kg 1 lbs 0 453592 kg. Use this page to learn how to convert between pounds and kilograms. 40 lbs to kg 18 14369 kg. Convert 2 2 pounds to kilograms.
Convert 2 2 pounds to kilograms. Thus for 2 pounds in kilogram we get 0 90718474 kg. To convert 2 lbs to kg multiply the mass in pounds by 0 45359237. Convert 2 pounds to kilograms. 5 lbs to kg 2 26796 kg. More information from the unit converter.
How to convert pounds to kilograms.
1 lb 0 45359237 kg. Convert 2 2 pounds to kilograms. Thus for 2 2 kilograms in pound we get 4 8501697681 lbs. The 2 lbs in kg formula is kg 2 0 45359237. Convert 2 pounds to kilograms. The answer is 0 997903.